• Normal Font
  • Large Font
  • Larger Font
  • Normal Colour
  • Black & Yellow Colour
Skip to content
Accessibility
  • Text Size:
  • Normal
  • Large
  • Larger
  • Screen Colours:
  • Normal
  • Black & Yellow
Clopton Suffolk
  • News Blog
  • What's on in Clopton
    Hall Bookings/Events Calendar Stay in touch Mobile Library
  • Village Hall
    Village hall photos Booking the hall Hall Bookings/Events Calendar HireTerms/Fire Safety/Data Policy Clopton Village Hall Management Committee Plan of Clopton village hall
  • Local Groups
    Suffolk Village Spinners & Weavers Hobbies & Social Morning Group Clopton Coffee Morning Ceilidhs at Clopton village hall Bell Ringers at Clopton church Clopton Heritage Group A New Dawn Exercise class
  • The village
  • Parish Council
    Clopton Parish Council Accounts Clopton Parish Council Agendas & Minutes Freedom of Information Policy Clopton Parish Council Documents Clopton Parish Plan Data Protection & Privacy Clopton Parish Council News
  • Gallery
    Clopton in the Winter Church kneelers
  • Clopton Village, Heritage & History
    History & Heritage Clopton Church Clopton Church History Manors of Clopton Clopton People Clopton Post Office, Shops and Trades The Crown Clopton Clopton village school Clopton village hall Clopton Houses

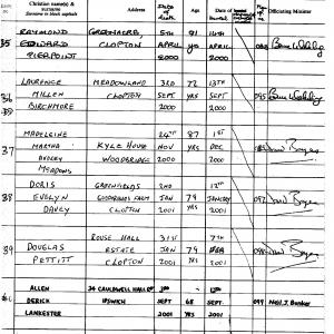
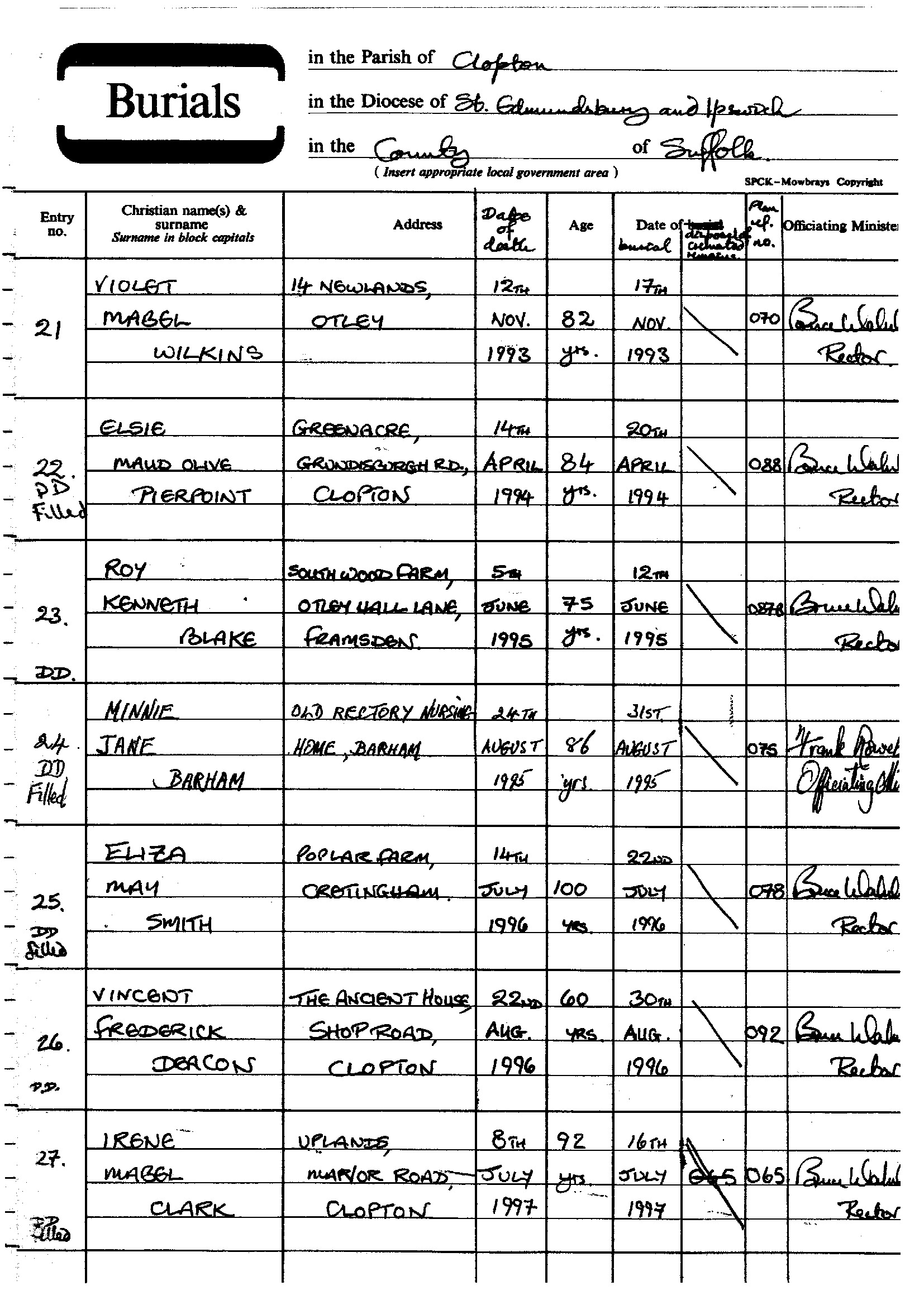
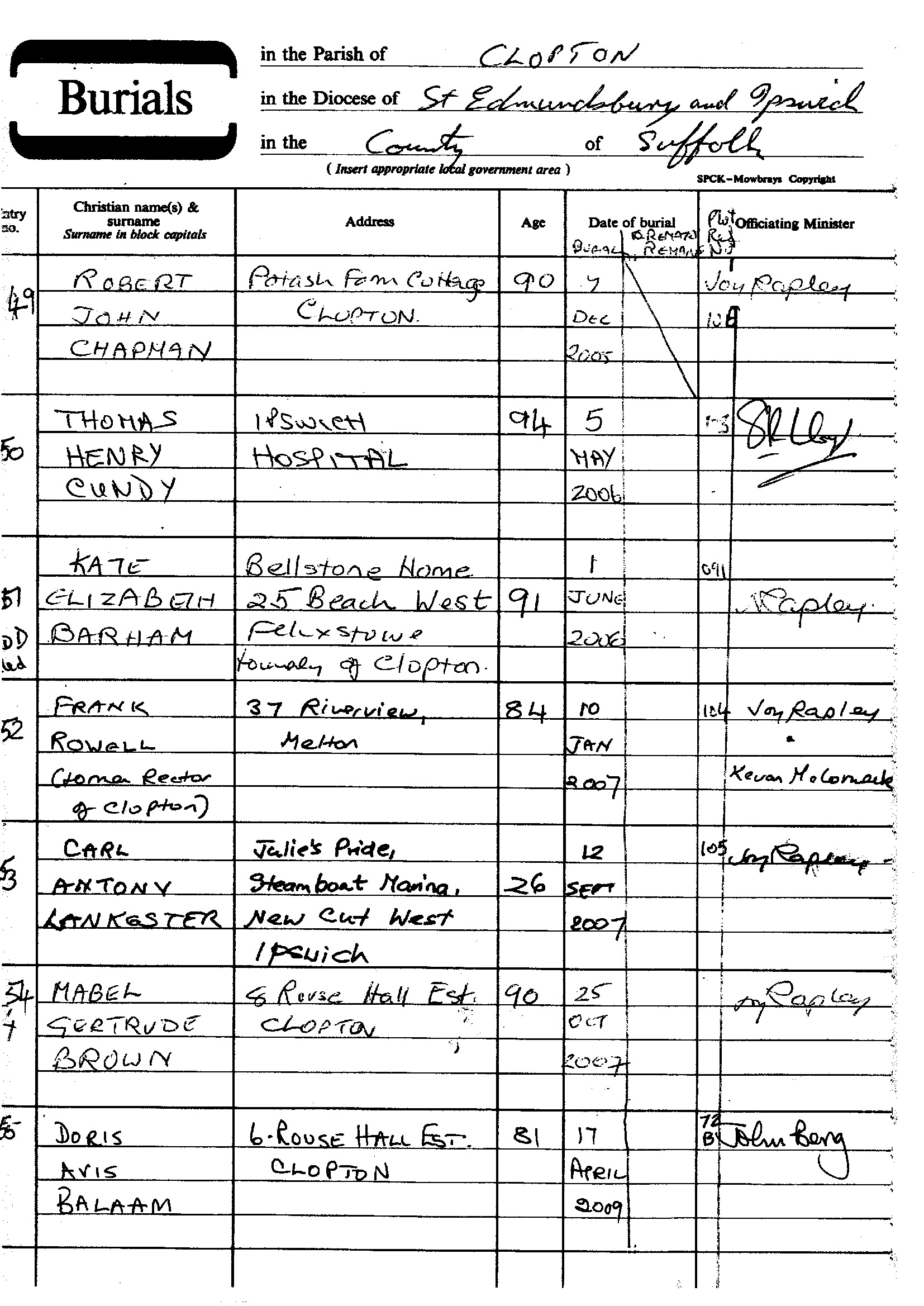
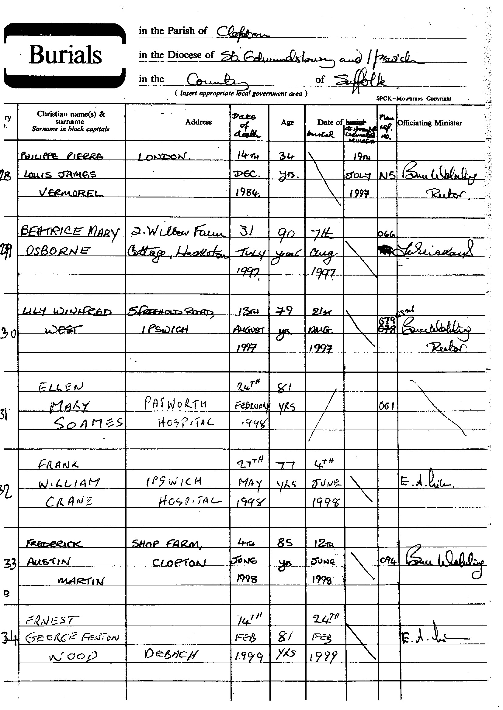
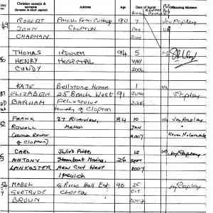
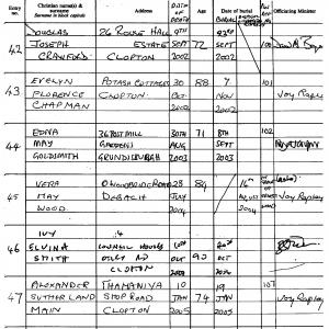
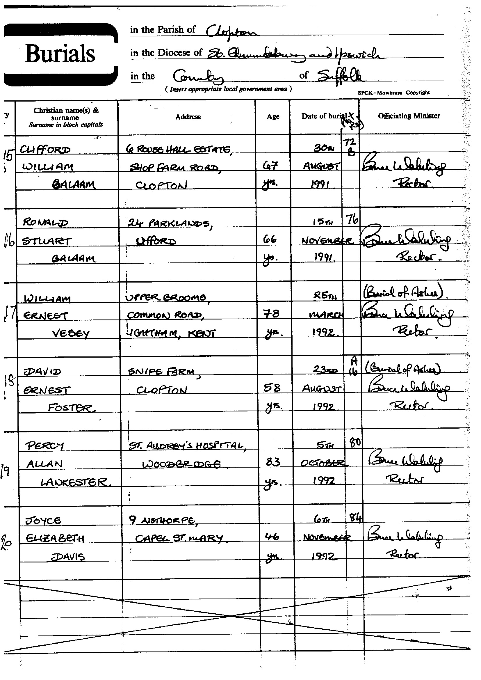
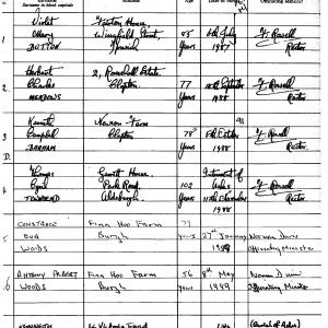
Church Graveyard & Burial Records

Church Graveyard & Burial Records

  • Monuments at Clopton church
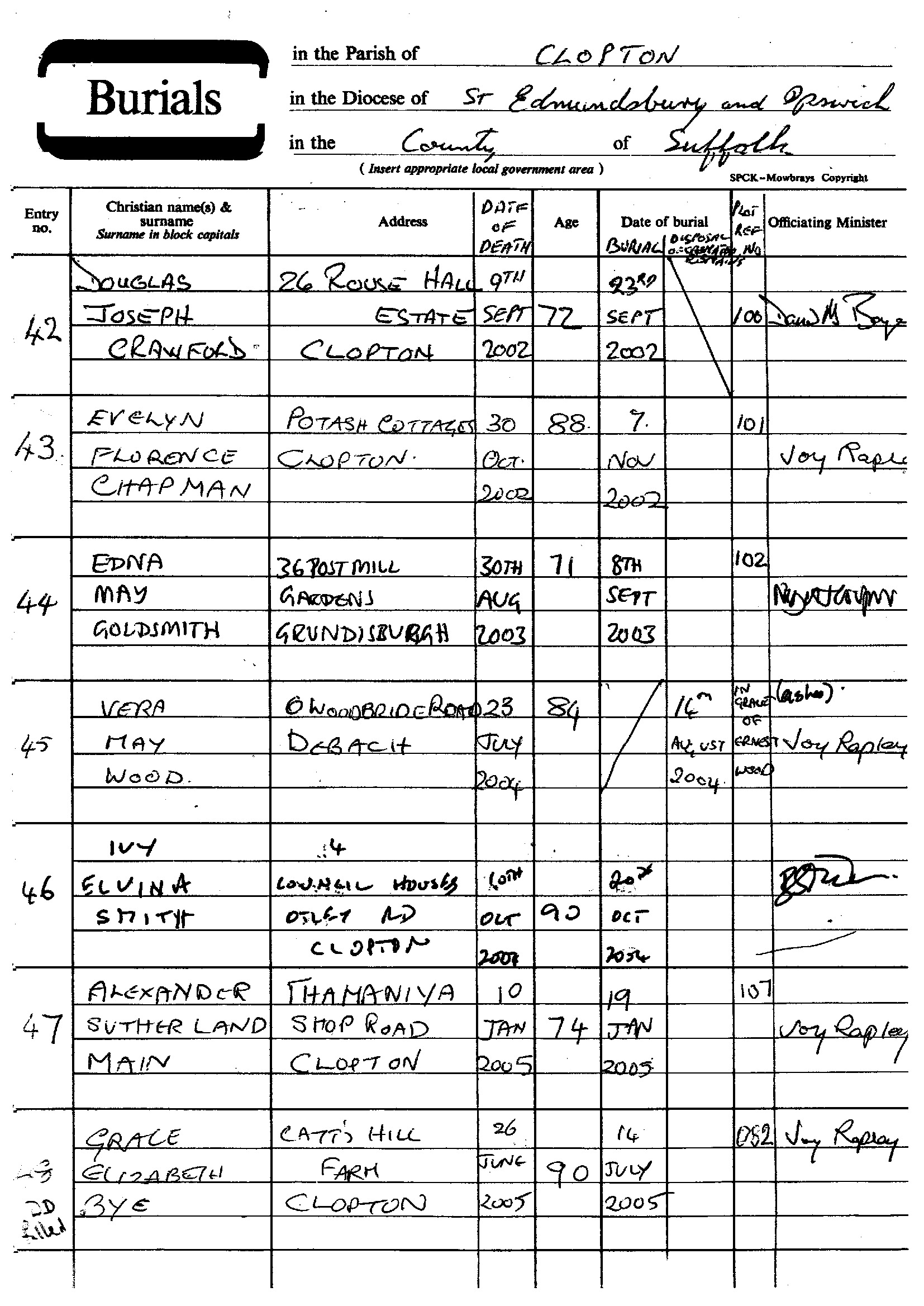
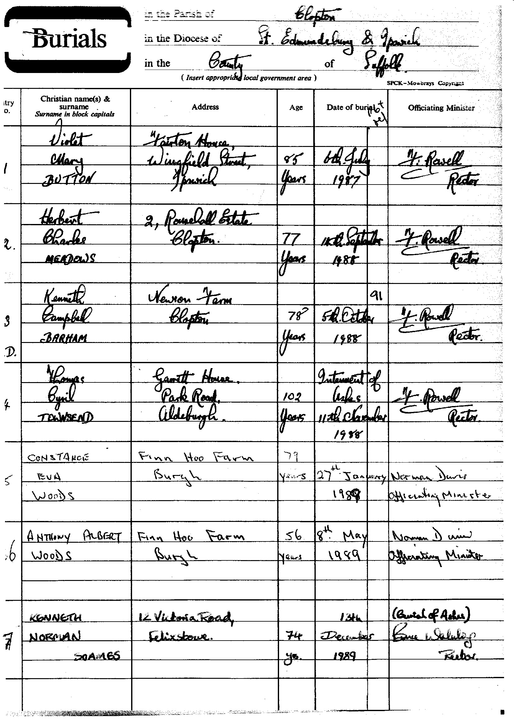
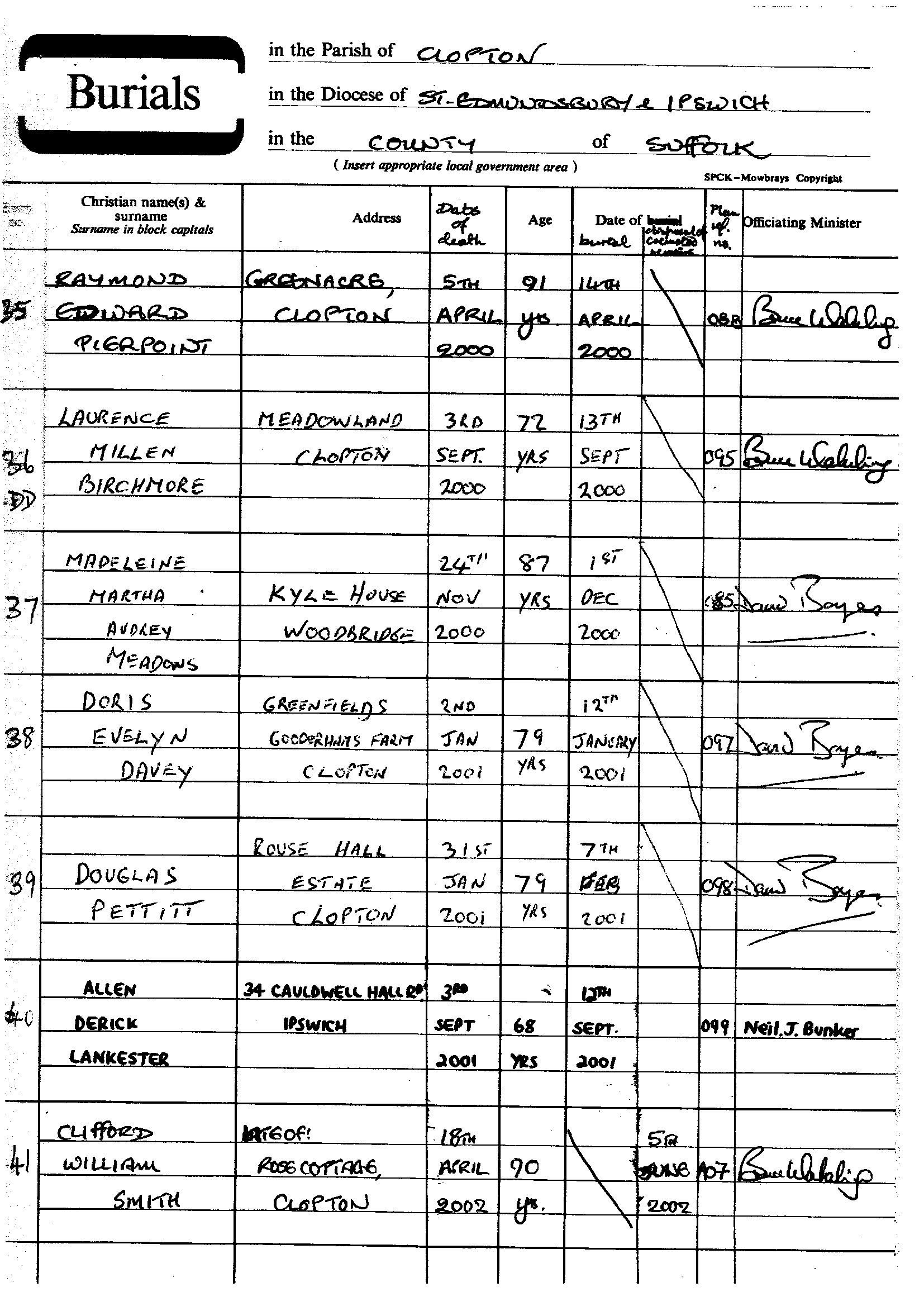
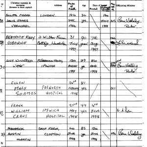
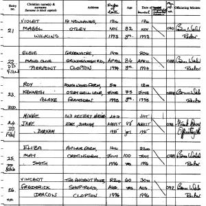
Burials in Clopton 1987 to 2012 0001
Burials in Clopton 1987 to 2012 0002
Burials in Clopton 1987 to 2012 0003
Burials in Clopton 1987 to 2012 0004
Burials in Clopton 1987 to 2012 0005
Burials in Clopton 1987 to 2012 0006
Burials in Clopton 1987 to 2012 0007
Burials in Clopton 1987 to 2012 0008
Burials in Clopton 1987 to 2012 0009

Copyright © 2026, Clopton Suffolk

One Suffolk Accessibility Statement

This site uses cookies to store information on your computer.

Do you want to allow cookies on this site?

Allow all cookies on this site

Alternatively, you may customise your cookie preferences bellow.
Some parts of this site may be disabled if cookies are blocked.

Allow only local cookies on this site
Block all cookies on this site

'Local cookies' are cookies generated by our site to enable some functionality. Other cookies are those used by external sources such as Google, Facebook or Youtube to enable their features on our website.

More information about cookies